|
Supplementary Materials |
|
|
|
|
Figure
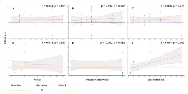
S5. Linear regression for secondary results. A, B, C results for linear regression of training duration, training frequency and session time for Pre-planned agility test; D, E, F results for linear regression of training duration, training frequency and session time for Reaction test.
|
|
|
|