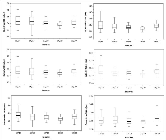
Figure 2. Variation of season-best performance during five competitive seasons in the backstroke, butterfly, and breaststroke events.