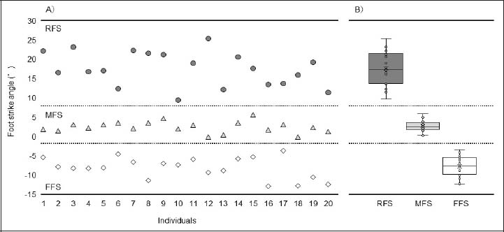
Figure 1. Foot strike angle of individuals (A) and average across all participants (B). RFS, rearfoot strike; MFS, midfoot strike; FFS, forefoot strike.