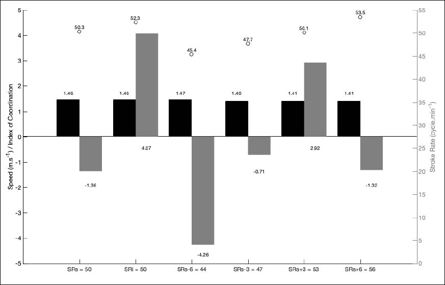
Figure 2. Current stroke rate, speed and index of coordination performed in the 6 stroke rate conditions: spontaneous SR without any instruction (SRs) and imposed spontaneous SR (SRi), spontaneous SR-6 cycles (SRs-6), -3 cycles (SRs-3), +3 cycles (SRs+3), +6 cycles (SRs+6).