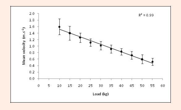
Figure 1. Relationship between load and mean velocity during a bench press task performed on a Smith Machine.